![]() |
![]() |
![]() |
![]() |
![]() |
![]() |
![]() |
![]()
Ansatz:
![]()
Einsetzen:

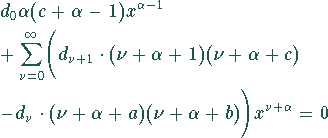
Es folgt:

Koeffizientenvergleich liefert die Indexgleichung:

Dies ergibt:

mit
.
Damit folgt:

wobei
die hypergeometrische Funktion
bezeichnet. Die allgemeine Lösung der Gaußschen
Differentialgleichung lautet damit
Die zweite Lösung gilt nur für den Fall
. Falls
ist, existiert ebenfalls eine
Lösung, diese hat aber eine viel kompliziertere Gestalt.
![]() |
![]() |
![]() |
![]() |
![]() |
![]() |
![]() |