Zurück Vor +Ebene Home Inhalt Index Hilfe

Umrechnungsformeln für die Areafunktionen

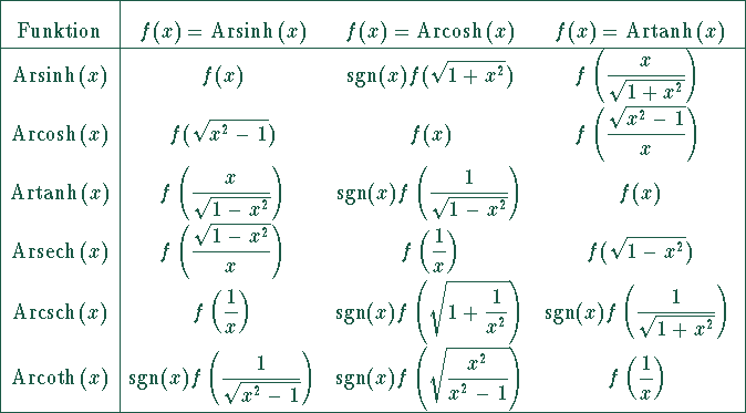
Ähnlich wie zu den hyperbolischen Funktionen gibt es auch zu den Areafunktionen Umrechnungsformeln, die in der Umrechnungstabelle aufgeführt sind.


Copyright Verlag Harri Deutsch AG  Stöcker DeskTop Mathematik