Zurück Vor +Ebene Home Inhalt Index Hilfe

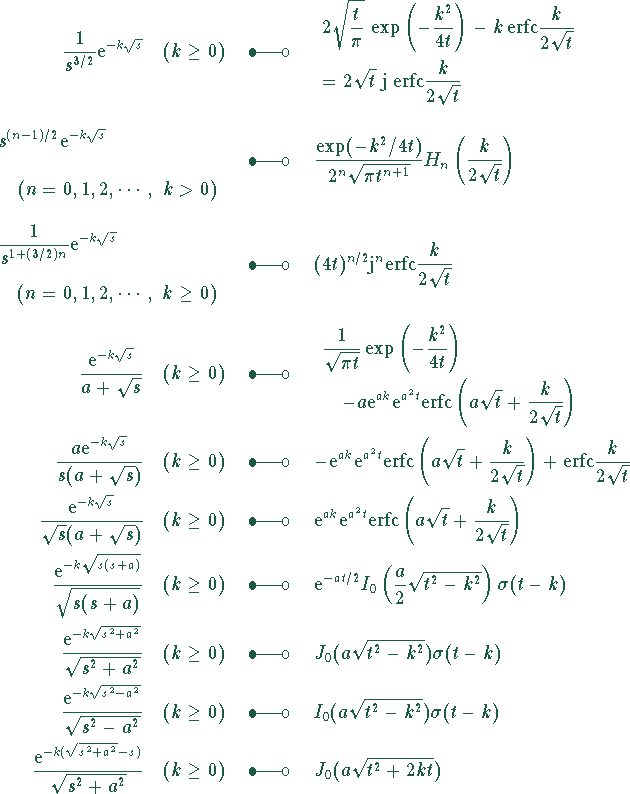
Laplace-Transformierte weiterer spezieller Funktionen


Copyright Verlag Harri Deutsch AG  Stöcker DeskTop Mathematik