![]() |
![]() |
![]() |
![]() |
![]() |
![]() |
![]() |
Eine Punktladung Q befindet sich im Punkt
(siehe Abbildung).
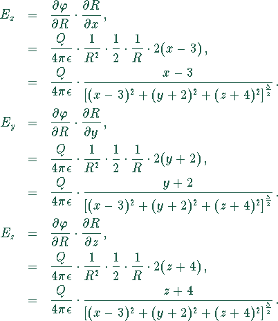
Das Potential am Ort r einer Punktladung ist

Wie groß sind die Feldstärkekomponenten am Ort
?
Lösung:
Die elektrische Feldstärke errechnet sich aus dem Gradienten des Potentials

Da

ist, ergibt sich

Mit Hilfe der Substitution von
folgt
für die Komponenten der elektrischen Feldstärke