![]() |
![]() |
![]() |
![]() |
![]() |
![]() |
![]() |
Für lineare kapazitive Zweipole gilt

Wie groß ist die Spannung am Zweipol bei einer Stromeinspeisung
von
?
Lösung:
Aus der Strom-Spannungs-Beziehung für einen linearen kapazitiven Zweipol folgt

Es ist zweckmäßig, zur Auswertung des Integrals
die Substitution
einzuführen. Mit
bzw.
entsteht

Dabei ist
und
.
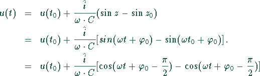
Die Integration liefert
Spannung und Strom besitzen die gleiche Frequenz, sind aber um
phasenverschoben. Die Amplitude der Spannung ist um den Faktor
kleiner als die Amplitude des Stromes.