![]() |
![]() |
![]() |
![]() |
![]() |
![]() |
![]() |
Es sei
die Anzahl der zur Zeit t vorhandenen Mole an Glucose,
und a sei die ursprüngliche Molzahl von Saccharose. Dann gilt für die
Reaktion
Saccharose + Wasser
Glucose + Fructose

wobei
und
vorausgesetzt wird.
Man gebe für
die TAYLOR-Entwicklung um den Punkt
an.
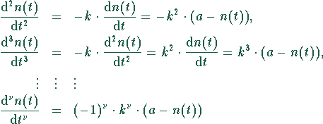
Lösung:
Aus (1) folgt

für
.
Mit
ergibt sich