![]() |
![]() |
![]() |
![]() |
![]() |
![]() |
![]() |
Die Beziehung zwischen den Produktionskosten y und dem Produktionsvolumen
x für das Intervall
lautet

Die Produktionskosten haben die Maßeinheit DM, das Produktionsvolumen
wird in ''Stück`` gemessen.
Im weiteren rechnen wir nur mit den Zahlenwerten.
Bestimmen Sie den durchschnittlichen Produktionszuwachs zwischen den
Produktionsvolumina
und
sowie den spezifischen
Produktionszuwachs für
.
Lösung:
Der durchschnittliche Produktionszuwachs läßt sich aus dem Diffenrenzenquotienten
berechnen. Der Differentialquotient an der Stelle
der obigen Funktion liefert
den spezifischen Produktionszuwachs für das Produktionsvolumen
.
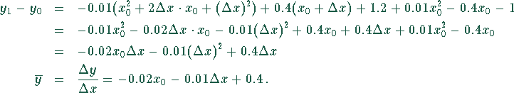
Wir betrachten die Differenz der Produktionskosten zwischen dem Produktionsvolumen
und einem Produktionsvolumen

Mit Hilfe der binomischen Formeln kann
umgeformt werden

Für die Produktionsvolumina
und
gilt
Damit erhält man für den durchschnittlichen Produktionskostenzuwachs

bzw. mit den Maßeinheiten
Der Grenzwert des Differenzenquotienten ergibt

Für das Produktionsvolumen
erhält man den spezifischen
Produktionskostenzuwachs
